| Stav zpracování | |
|---|---|
| Stav | hotovo |
| Projednáno | 12. 02. 2025 |
Toto je starší verze dokumentu!
Obsah
5. Přílohy
Upozornění: Originální a aktuální text tohoto odstavce je k dispozici na webové adrese zde, zde je uveřejněn pro účely vyhledávání a uceleného kontextu celé problematiky DTM. Stav textu odráží stav originálního dokumentu verze 2.1 ze dne 29. 5. 2027.
5.1. Příklad protokolu ověření homogenity GAD DTM (měření identických bodů)
5.2. Konvence (formát a označení) názvosloví náležitostí GAD DTM
Název adresáře s výsledkem GAD DTM se vytvoří složením z UID subjektu (UID_SUBJEKTU), jedinečného kódu kraje (PREFIX_KRAJE) a vlastního čísla GAD DTM (CGAD), jednotlivé náležitosti GAD DTM jako součásti tohoto adresáře se shodným názvem, doplněným zkratkou příslušné náležitosti GAD DTM. Jako oddělovač se použije podtržítko.
Výsledný zazipovaný adresář náležitostí GAD DTM, resp. jednotlivé náležitosti, tak budou předkládány s označením v tomto tvaru:
UID_SUBJEKTU_PREFIX_KRAJE_CGAD.zip (např. SUBJ-00000001_CZ010_00008.zip) resp.
UID_SUBJEKTU_PREFIX_KRAJE_CGAD_MN.pdf (např. SUBJ-00000001_CZ010_00008_MN.pdf), kde
- UID_SUBJEKTU je osmimístný jedinečný identifikátor subjektu s prefixem získaný automatizovaně po zaregistrování subjektu (AZI) v Registru subjektů IS DMVS
- PREFIX_KRAJE je pětimístný jedinečný kód příslušného kraje (dle níže uvedené tabulky), do kterého je GAD DTM zasílána
| Kraj | Prefix |
| Hlavní město Praha | CZ010 |
| Středočeský kraj | CZ020 |
| Jihočeský kraj | CZ031 |
| Plzeňský kraj | CZ032 |
| Karlovarský kraj | CZ041 |
| Ústecký kraj | CZ042 |
| Liberecký kraj | CZ051 |
| Královéhradecký kraj | CZ052 |
| Pardubický kraj | CZ053 |
| Kraj Vysočina | CZ063 |
| Jihomoravský kraj | CZ064 |
| Olomoucký kraj | CZ071 |
| Zlínský kraj | CZ072 |
| Moravskoslezský kraj | CZ080 |
- CGAD je pětimístné vlastní číslo GAD DTM – např. číslo stavby/akce nebo pořadové číslo zakázky subjektu (ve tvaru 00001)
- zkratka a formát příslušné náležitosti GAD DTM vychází z uvedené tabulky
| Náležitost GAD DTM | Zkratka náležitosti GAD DTM | Formát souboru |
| Popisové pole (příp. může být součástí měřického náčrtu) | PP | |
| Měřický náčrt | MN | |
| Technická zpráva (mj. včetně protokolu měření identických bodů) | TZ | |
| Seznam souřadnic | SS | *.txt |
| Soubor změnových údajů v JVF DTM | JVF | *.jvf.xml |
5.3. Příklady náležitostí GAD DTM
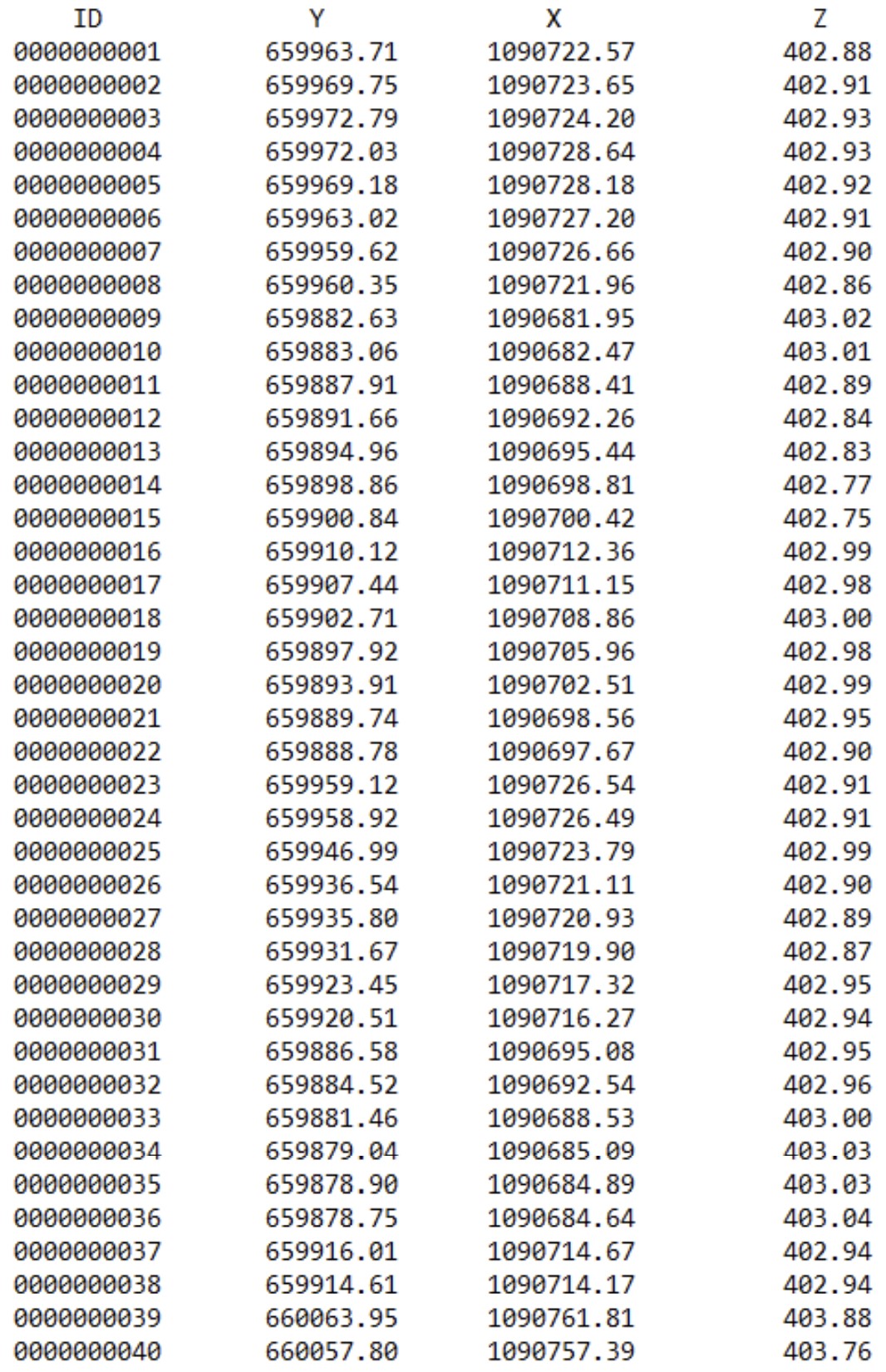
5.3.1. Seznam souřadnic
5.3.2. Technická zpráva
Geodetická technická zpráva
Objednatel:
Sídlem:
Kontaktní osoba:
Zhotovitel:
Sídlem:
Kontaktní osoba:
1) Smlouva/objednávka/číslo zakázky:
…..
2) Údaje o lokalitě (Kraj, okres, ORP, obec):
…..
3) Počet MJ v lokalitě (ha, km, …):
…..
4) Rozsah (předmět) mapování:
Předmětem zakázky bylo zaměření, následné zpracování dokumentace rekonstrukce povrchu silnice III. třídy XY….
5) Primární data, podkladová data (včetně dat z DTM kraje):
…..
6) Zaměření:
…..
7) Zpracování:
.….
8) Kontroly (průběžné, finální včetně validace JVF DTM):
……
9) Testování přesnosti zpracovaných dat (včetně protokolu měření identických bodů):
Vyhodnocení protokolu odchylek, který je součástí odevzdávané dokumentace.


